Calculated ja mitattu vaihe koostumukset: koostumukset c-ja c-phase (&cc ja cc&)neljä tutkittu seokset mitattiin 3D APT (Erbo 1) [36] ja TEM-EDX (ERBO 15 ja johdannaiset) [32]. Kahden vaiheen kokeelliset tulokset esitetään taulukoissa 7 (C-Phasi) ja 8 (C-&faasi). Taulukot 7 ja 8 sisältävät myös ThermoCalc ennusteita saadaan lämpötilat 1143 K (lämpötila toisessa saostusvaiheessa käsittelyvaiheeseen kaikki seokset), on 1413 K ja 1583 K (Erbo/1; lämpötila ensimmäinen saostuskäsittely vaiheessa ja homogenisointi, vastaavasti) ja 1313 K ja 1583 K (ERBO/15 -variantit; ensimmäisen sademäärän käsittelyn ja homogenoinnin lämpötila vastaavasti). Koska C-faasi on pienempi tilavuusfraktio kuin C-Phase, muutokset sen kemiallisessa koostumuksessa&ovat voimakkaampia. Kuvioissa 1 - 10 ja 11, esittelemme C-Phase -koostumuksia taulukosta 7 piirakka-kaavioiksi. Kuvio 10 esittää kokeellisia tietoja, jotka mitattiin kaikillaneljässä lämpöä-trated-seoksissa ennen hiipiä. ThermoCalc ennusteita saatu c-phases on Erbo/1 (1143, 1413 ja 1583 K) ja Erbo/15 (1143, 1313 ja 1583 K) on esitetty kuvassa. 11.
--&/-// --&/

phase, tiedot esitetäänilman kuvia) osoittavat, että lisäämällä lämpötilat johtavat kasvavia määriä Ti, AI ja Ta ja samanaikaisesti väheneviä määriä Cr, Co, W ja Re ERBO/1 C/Phase. Kuten kuviossa 2 esitetyssä termocalc-tuloksissa voidaannähdä, emäselementin NI määrä kasvaa lisäämällä lämpötila ERBO&1. Sen sijaan, se laskee lämpötilannoustessa sisään Erbo#15.The/--/-thermodynamic tiedot c-ja c-phasestaulukossa 7 (ja kuviot. 10 ja 11) ja taulukossa 8, vastaavasti, lisäksi osoittavat, että ThermoCalc tiedot 1143 K (lämpötila viimeksi saostuskäsittely kokeellisten seosten) ja kokeellisesti määritetyt tulokset eivät ole täysin samaa, mutta kohtuullisen lähellä toisiaan sekä metalliseos järjestelmissä. Vain tapauksessa Erbo
15, elementti Mo osoittaa merkittävästi pienemmän arvon laskennassa on 1143 K (1,0 at.%) Kuin kokeessa (4.4at.%).discussion elastiset jäykkyydet: Kuten kuviossa 6a-C voidaannähdä, kaikki elastiset jäykkyydet vähenevät lisäämällä lämpötilaa. Tämä johtuu pääasiassa seurauksena ristikkopotentiaalin anharmonisuudesta. Lisääntyvä lämpötila kasvavat lämpörähdistykset johtavat suurempiin sidosetäisyyksiin, mikä johtaa liimauksen vuorovaikutuksen vähenemiseen ja siten elastisten jäykkyyksien vähenemiseen. Elastinen käyttäytyminen Erbo
1 ja Erbo
101, koska tulokset kevyempi Erbo-15 varianteista c11 ja c12 jäävän hieman. Tämä ei vaikuta merkittävästi elastiseen modutiin E \\ 100 [, joka kaikki ovat hyvin lähellä (kuvio 6d). Kuten voidaannähdä taulukosta 9, metalliseoksen yksittäisten elementtien SX eri kokoisia, kiderakenne, Youngin moduuli, elektronegatiivisuus ja sulamispiste [48-51]. Kuvio 6d osoittaa, ettänykyisessä työssä käsiteltyjen seoskemian muutokset eivät vaikuta voimakkaasti elastisiin ominaisuuksiin. Tämä on sopusoinnussa Demtro'der et ai. [41], joka osoitti, ettänykyisessä työssä harkittujen metallisikoostumusten suuremmat vaihtelut eivät vaikuta voimakkaasti SX:n elastisiin ominaisuuksiin. Yhden kidelin joustava käyttäytyminen heijastaa suoraan sen liimausjärjestelmän anisotropiaa. Jälkimmäistä ohjataan pääasiassa lähimpään&neighbor -yhteyksien tyypin,numeron ja paikkatietojärjestelyn mukaan kristallirakenteeseen. Koska rakenteiden Ni-base SX (mukaan lukien c-c 'mikrorakenteet) sekäniiden tärkeimpien kemialliset koostumukset ([62.% Ni, [11. % AI) eroavat vain vähän, vuorovaikutusta hallitsevat Ni-Ni ja Ni-AI-yhteydet, jotka johtavat vain pienet vaihtelut makroskooppisten elastisen jäykkyyksiä [42].
-Thermal laajeneminen ja csolvus lämpötiloissa
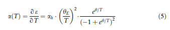
: lämpölaajeneminen on liitetty materiaalin taipumus muuttaa äänenvoimakkuutta lämpötilannoustessa. Kiteessä tämä liittyy atomien lisääntyvään värähtelevän energian ja ristikkopotentiaalin ei-nonormonisen muodon. Gru¨Neisi -suhteen mukaan Aðtþ on verrannollinen lämpökapasiteettiin; siten, terminen kanta eðTÞ voi olla
described integroidusta muoto Einstein malli [52, 53]:
e0 edustaa lähtökanta 0 K, ah tarkoittaa korkean

Työnimike: Product manager
osasto: Market Department
Yrityspuhelin: +86 021-59150215
Sähköposti: Ota meihin yhteyttä
Kännykkä: +86 13817160919
Verkkosivusto: lanzhusuperalloy.finvipb2b.com
Osoite: No. 2800 Caoxin Road, Xuhang Town, Jiading District, Shanghai